در زندگی به همان اندازه كه به مسائل منفی فكر می كنی، به عوامل هم كه نقش مثبت دارند بیندیش. - اچ جکسون براون (کتاب نکته‌های کوچک زندگی)
شیمی

پلی‌ساکارید چیست؟ تعریف، ساختار، انواع و نقش حیاتی در بدن

پلی‌ساکاریدها، که گاهی اوقات با نام گلیکان‌ها نیز شناخته می‌شوند، نوعیکربوهیدراتپیچیده هستند. این ترکیبات،پلیمرهاییبزرگ هستند که از به هم پیوستن زنجیره‌های طولانی واحدهای...
پلی‌ساکارید چیست؟ تعریف، ساختار، انواع و نقش حیاتی در بدن

پلی‌ساکاریدها، که گاهی اوقات با نام گلیکان‌ها نیز شناخته می‌شوند، نوعی کربوهیدرات پیچیده هستند. این ترکیبات، پلیمرهایی بزرگ هستند که از به هم پیوستن زنجیره‌های طولانی واحدهای کوچک‌تری به نام مونوساکارید (قندهای ساده) تشکیل شده‌اند. این اتصال بین مونوساکاریدها از طریق پیوندهای گلیکوزیدی برقرار می‌شود.

به طور کلی، یک پلی‌ساکارید از بیش از ده واحد مونوساکاریدی تشکیل شده است. در مقابل، الیگوساکاریدها از سه تا ده مونوساکارید متصل به هم ساخته شده‌اند.

فرمول شیمیایی عمومی برای یک پلی‌ساکارید به صورت Cx(H2O)y است. بیشتر پلی‌ساکاریدها از مونوساکاریدهای شش کربنی تشکیل شده‌اند که منجر به فرمول (C6H10O5)n می‌شود. پلی‌ساکاریدها می‌توانند به شکل‌های خطی یا شاخه‌دار وجود داشته باشند.

  • پلی‌ساکاریدهای خطی، مانند سلولز در درختان، می‌توانند پلیمرهای سخت و محکم ایجاد کنند.
  • پلی‌ساکاریدهای شاخه‌دار، مانند صمغ عربی، اغلب در آب محلول هستند.

نکات کلیدی در مورد پلی‌ساکاریدها

  • پلی‌ساکارید نوعی کربوهیدرات است که از واحدهای قندی کوچکتر به نام مونوساکارید ساخته شده است.
  • پلی‌ساکاریدها می‌توانند خطی یا شاخه‌دار باشند و از یک نوع قند ساده (هموپلی‌ساکاریده��) یا دو یا چند نوع قند (هتروپلی‌ساکاریدها) تشکیل شوند.
  • نقش‌های اصلی پلی‌ساکاریدها شامل پشتیبانی ساختاری، ذخیره انرژی و ارتباطات سلولی است.
  • نمونه‌هایی از پلی‌ساکاریدها شامل سلولز، کیتین، گلیکوژن، نشاسته و اسید هیالورونیک هستند.

دسته‌بندی پلی‌ساکاریدها: هموپلی‌ساکارید در برابر هتروپلی‌ساکارید

پلی‌ساکاریدها را می‌توان بر اساس ترکیبشان به دو دسته اصلی تقسیم کرد: هموپلی‌ساکاریدها و هتروپلی‌��اکاریدها. این دسته‌بندی بر اساس نوع قندهایی است که در ساختار پلی‌ساکارید به کار رفته‌اند.

هموپلی‌ساکاریدها (Homopolysaccharides)

هموپلی‌ساکاریدها، که به آن‌ها هموگلیکان نیز گفته می‌شود، از تکرار یک نوع قند یا مشتق قندی ساخته شده‌اند. به عبارت دیگر، زنجیره پلی‌ساکارید فقط از یک واحد مونومری تکراری تشکیل شده است.

به عنوان مثال:

  • سلولز، نشاسته و گلیکوژن همگی از واحدهای تکراری گلوکز تشکیل شده‌اند.
  • کیتین از واحدهای تکراری N-استیل-D-گلوکزآمین، که یک مشتق گلوکز است، ساخته شده است.

هتروپلی‌ساکاریدها (Heteropolysaccharides)

هتروپلی‌ساکاریدها، که به آن‌ها هتروگلیکان نیز گفته می‌شود، حاوی دو یا چند نوع قند یا مشتق قندی مختلف هستند. در عمل، بیشتر هتروپلی‌ساکاریدها از دو مونوساکارید (دی‌ساکاریدها) تشکیل شده‌اند. این ترکیبات اغلب با پروتئین‌ها مرتبط هستند.

به عنوان مثال، اسید هیالورونیک یک هتروپلی‌ساکارید خوب است که از اتصال N-استیل-D-گلوکزآمین به اسید گلوکورونیک (دو مشتق مختلف گلوکز) تشکیل شده است.

فرمول شیمیایی اسید هیالورونیک
اسید هیالورونیک نمونه‌ای از یک هتروپلی‌ساکارید است.

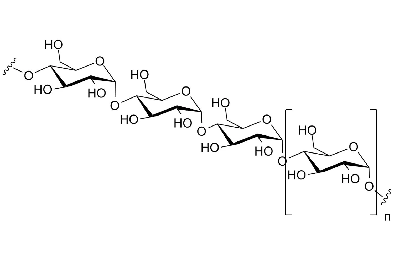
ساختار پلی‌ساکاریدها: پیوندهای گلیکوزیدی و پایداری

پلی‌ساکاریدها از طریق اتصال مونوساکاریدها یا دی‌ساکاریدها با پیوندهای گلیکوزیدی تشکیل می‌شوند. قندهایی که در این پیوندها شرکت می‌کنند، residue نامیده می‌شوند.

پیوند گلیکوزیدی مانند پلی بین دو residue است که از یک اتم اکسیژن بین دو حلقه کربنی تشکیل شده است. این پیوند در نتیجه یک واکنش کم‌آب شدن (یا واکنش تراکم) شکل می‌گیرد. در این واکنش، یک گروه هیدروکسیل از کربن یک residue و یک اتم هیدروژن از گروه هیدروکسیل residue دیگر حذف می‌شود. به این ترتیب یک مولکول آب (H2O) جدا شده و کربن residue اول به اکسیژن residue دوم متصل می‌شود.

به طور خاص، کربن شماره 1 (کربن-1) یک residue و کربن شماره 4 (کربن-4) residue دیگر توسط اکسیژن به هم متصل شده و پیوند گلیکوزیدی 1,4 را تشکیل می‌دهند. بر اساس شیمی فضایی اتم‌های کربن، دو نوع پیوند گلیکوزیدی وجود دارد:

  • پیوند گلیکوزیدی α(1→4) زمانی تشکیل می‌شود که دو اتم کربن دارای شیمی فضایی یکسانی باشند یا گروه OH روی کربن-1 زیر حلقه قند قرار داشته باشد.
  • پیوند گلیکوزیدی β(1→4) زمانی تشکیل می‌شود که دو اتم کربن دارای شیمی فضایی متفاوتی باشند یا گروه OH روی کربن-1 بالای صفحه قرار داشته باشد.

اتم‌های هیدروژن و اکسیژن residueها با residueهای دیگر پیوندهای هیدروژنی تشکیل می‌دهند که می‌تواند منجر به ساختارهای بسیار قوی و پایدار شود. به همین دلیل است که برخی از پلی‌ساکاریدها مانند سلولز، ساختارهای بسیار محکمی را ایجاد می‌کنند.

آمیلوز متصل شده توسط پیوندهای گلیکوزیدی آلفا
آمیلوز از residueهای گلوکز متصل شده توسط پیوندهای گلیکوزیدی آلفا 1,4 تشکیل شده است.

نقش‌های حیاتی پلی‌ساکاریدها: از استحکام تا پیام‌رسانی سلولی

پلی‌ساکاریدها نقش‌های بسیار متنوعی در موجودات زنده ایفا می‌کنند که مهم‌ترین آن‌ها عبارتند از:

  • ایجاد پشتیبانی ساختاری
  • ذخیره‌سازی انرژی
  • انتقال پیام‌های ارتباطی سلولی

ساختار کربوهیدراتی یک پلی‌ساکارید به طور قابل توجهی تعیین‌کننده عملکرد آن است.

پشتیبانی ساختاری

مولکول‌های خطی مانند سلولز و کیتین، بسیار قوی و سخت هستند. سلولز مولکول اصلی پشتیبان در گیاهان است، در حالی که قارچ‌ها و حشرات به کیتین تکیه می‌کنند. این ساختارها استحکام و پایداری را برای موجودات زنده فراهم می‌کنند.

ذخیره‌سازی انرژی

پلی‌ساکاریدهایی که برای ذخیره انرژی استفاده می‌شوند، معمولاً شاخه‌دار بوده و روی خودشان تا خورده‌اند. به دلیل غنی بودن از پیوندهای هیدروژنی، معمولاً در آب نامحلول هستند.

نمونه‌هایی از پلی‌ساکاریدهای ذخیره‌کننده انرژی عبارتند از:

  • نشاسته در گیاهان
  • گلیکوژن در حیوانات

ارتباطات سلولی

پلی‌ساکاریدهایی که برای ارتباطات سلولی استفاده می‌شوند، اغلب به صورت کووالانسی به لیپیدها یا پروتئین‌ها متصل می‌شوند و گلیکوکانژوگه‌ها را تشکیل می‌دهند. کربوهیدرات به عنوان یک برچسب عمل می‌کند تا به سیگنال کمک کند به هدف صحیح برسد.

دسته‌های گلیکوکانژوگه‌ها عبارتند از:

  • گلیکوپروتئین‌ها
  • پپتیدوگلیکان‌ها
  • گلیکوزیدها
  • گلیکولیپیدها

پروتئین‌های پلاسما، به عنوان مثال، در واقع گلیکوپروتئین‌ها هستند.

آزمایش شیمیایی تشخیص پلی‌ساکاریدها: رنگ‌آمیزی PAS

یک آزمایش شیمیایی رایج برای شناسایی پلی‌ساکاریدها، رنگ‌آمیزی دوره‌ای اسید-شیف (PAS) است. در این روش، اسید دوره‌ای پیوند شیمیایی بین کربن‌های مجاور که در پیوند گلیکوزیدی شرکت ندارند را می‌شکند و یک جفت آلدهید تشکیل می‌دهد. سپس معرف شیف با آلدهیدها واکنش داده و رنگ ارغوانی مایل به سرخ ایجاد می‌کند.

رنگ‌آمیزی PAS برای شناسایی پلی‌ساکاریدها در بافت‌ها و تشخیص شرایط پزشکی که باعث تغییر در کربوهیدرات‌ها می‌شوند، مورد استفاده قرار می‌گیرد. به عبارتی دیگر، از این روش برای تشخیص بیماری‌هایی که متابولیسم کربوهیدرات را تحت تاثیر قرار می‌دهند، استفاده می‌شود.


این مقاله در سایت علمی رایشمند منتشر شده است. خوشحال می‌شویم اگر دیدگاه و نظر خود را درباره این موضوع با ما و دیگر خوانندگان در میان بگذارید.

شما در پاسخ به

نظر شما اضافه شد، اما ابتدا باید تایید شود.

نظر خود را برای ما بنویسید
لطفا نام خود را وارد کنید
لطفا آدرس ایمیل خود را وارد کنید لطفا آدرس ایمیل معتبر وارد کنید
لطفا یک نظری بنویسید
ثبت و ارسال