تا نابودی جهان هستی چقدر زمان باقی است؟

کتابخانه ریاضی

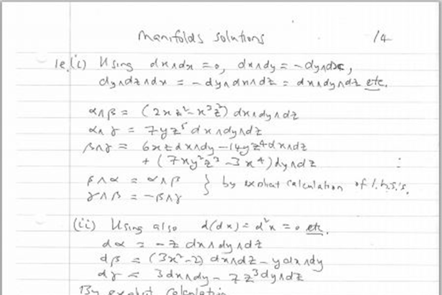
حل تمرین های منیفلد صفحه 14 تا 19

حل تمرین های منیفلد صفحه 14 تا 19

این جزوه در ادامه بخش اول جزوه ی منیفلد در رایشمند قرار داده شده این جزوه شامل 5 صفحه و بصورت دست نویس به زبان انگلیسی می باشد.

نوعحل المسائل
رشتهریاضی
مقطعکارشناسی ارشد و دکترا
گرایشهندسه
زبانانگلیسی
نوع کاربرددرسی - دانشگاه
نویسندهنامشخص
صفحه5
نام منبعمجله علمی رایشمند
لینک منبعhttps://rayeshmand.ir/Default.aspx?tabid=78&artmid=2531&articleid=686&language=fa-IR

فایل ها برای دانلود

شما در پاسخ به

نظر شما اضافه شد، اما ابتدا باید تایید شود.

نظر خود را برای ما بنویسید
لطفا نام خود را وارد کنید
لطفا آدرس ایمیل خود را وارد کنید لطفا آدرس ایمیل معتبر وارد کنید
لطفا یک نظری بنویسید
ثبت و ارسال